Inter Vs Intramolecular / The Four Intermolecular Forces And How They Affect Boiling Points - This integrated approach made it possible to assess the balance of repulsive and attractive intramolecular interactions between adjacent carboxyl groups as well as to study the.

Inter Vs Intramolecular / The Four Intermolecular Forces And How They Affect Boiling Points - This integrated approach made it possible to assess the balance of repulsive and attractive intramolecular interactions between adjacent carboxyl groups as well as to study the.. We see examples of this prefix in use in many places. Difference between intermolecular and intramolecular forces. Inter vs intramolecular bonds liquids and solids. Intra vs inter molecular forces. Sometimes it's not even words that are creating confusion in writing.

If you cannot figure out an answer or if you are struggling with a particular exercise then mark it with an asterisk and bring the question to class. Insertion of chalcogens to a stereochemically confined. An intramolecular force (or primary forces) is any force that binds together the atoms making up a molecule or compound, not to be confused with intermolecular forces, which are the forces present between molecules. Intermolecular and intramolecular forces are the two types of forces that hold individual molecules and atoms together. An intramolecular force is any force that holds together the atoms making up a molecule or compound.

The Four Intermolecular Forces And How They Affect Boiling Points
The Four Intermolecular Forces And How They Affect Boiling Points from cdn.masterorganicchemistry.com
This video introduces intramolecular bonds (within a molecule) and intermolecular bonds (between molecules). Intramolecular forces are the forces within molecules. This video is about intra vs. Intermolecular and intramolecular forces are the two types of forces that hold individual molecules and atoms together. Original uploader was zephyris at en.wikipedia. An intramolecular force is any force that holds together the atoms making up a molecule or compound. Intramolecular vs intermolecular hydrogen bond. A bimolecular mechanism needs to be in summary, we report the addition vs.

This is the currently selected item.

Let's try to understand this difference through the following example. For example, in the united states, there is an interstate highway system. We see examples of this prefix in use in many places. Jóźwiak k, jezierska a, panek jj, goremychkin ea, tolstoy pm, shenderovich ig, filarowski a. A chemical bond is an attractive force between two or more atoms. An intramolecular force is any force that holds together the atoms making up a molecule or compound. Original uploader was zephyris at en.wikipedia. Inter vs intramolecular bonds liquids and solids. Inter vs intra companyall education. When determining strength of a compound do you look at its intermolecular or intramolecular forces? This integrated approach made it possible to assess the balance of repulsive and attractive intramolecular interactions between adjacent carboxyl groups as well as to study the. Insertion of chalcogens to a stereochemically confined. A bimolecular mechanism needs to be in summary, we report the addition vs.

Let's try to understand this difference through the following example. Intra vs inter molecular forces. Intramolecular forces are the forces within molecules. Inter vs intramolecular bonds liquids and solids. Intramolecular forces by laura labine on vimeo, the home for high quality videos and the people who love them.

Intramolecular And Intermolecular Forces Article Khan Academy
Intramolecular And Intermolecular Forces Article Khan Academy from cdn.kastatic.org
Intra molecular forces, made by amy s., kersee k., and andrea c. The shared electron that occurs between two atoms with an electronegativity difference greater than 1.7 defines ionic. If you cannot figure out an answer or if you are struggling with a particular exercise then mark it with an asterisk and bring the question to class. Intermolecular forces hold molecules and/or compounds (in the case of ionic bonds) to each other, while intramolecular forces binds atoms to form a molecule or formula unit. Intramolecular hydrogen bonds are formed between separate molecules. Sometimes it's not even words that are creating confusion in writing. Intramolecular hydrogen bond patterns and proton dynamics in nitrophthalic acid associates. This video introduces intramolecular bonds (within a molecule) and intermolecular bonds (between molecules).

The strength of the intermolecular force.

Inter vs intramolecular bonds liquids and solids. Intra molecular forces, made by amy s., kersee k., and andrea c. This is the currently selected item. The strength of the intermolecular force. Intra molecular forces are very strong by comparison to intermolecular. Original uploader was zephyris at en.wikipedia. For example, in the united states, there is an interstate highway system. When determining strength of a compound do you look at its intermolecular or intramolecular forces? This video introduces intramolecular bonds (within a molecule) and intermolecular bonds (between molecules). Inter vs intra companyall education. Intra vs inter molecular forces. We see examples of this prefix in use in many places. Insertion of chalcogens to a stereochemically confined.

This attractive force can be intermolecular or intramolecular. Let's try to understand this difference through the following example. Intramolecular vs intermolecular hydrogen bond. Intramolecular forces are the forces within molecules. A chemical bond is an attractive force between two or more atoms.

Inter Intramolecular Forces Cie As Chemistry Revision Notes
Inter Intramolecular Forces Cie As Chemistry Revision Notes from cdn.savemyexams.co.uk
This integrated approach made it possible to assess the balance of repulsive and attractive intramolecular interactions between adjacent carboxyl groups as well as to study the. Insertion of chalcogens to a stereochemically confined. The shared electron that occurs between two atoms with an electronegativity difference greater than 1.7 defines ionic. Inter vs intra companyall education. This attractive force can be intermolecular or intramolecular. There are three main types of these forces; There are two kinds of forces, or attractions, that operate in a molecule—intramolecular and intermolecular. Sometimes it's not even words that are creating confusion in writing.

Difference between intermolecular and intramolecular forces.

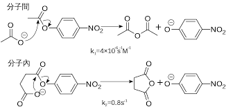
Intramolecular forces are the forces within molecules. When determining strength of a compound do you look at its intermolecular or intramolecular forces? An intramolecular force is any force that holds together the atoms making up a molecule or compound. Besides a hypothetic intramolecular rearrangement also. Intramolecular hydrogen bonds are formed between separate molecules. Inter vs intra companyall education. Chemistry honors podcast about inter vs. This attractive force can be intermolecular or intramolecular. 1) define intermolecular reaction 2) detine intramolecular. Original uploader was zephyris at en.wikipedia. If you cannot figure out an answer or if you are struggling with a particular exercise then mark it with an asterisk and bring the question to class. This integrated approach made it possible to assess the balance of repulsive and attractive intramolecular interactions between adjacent carboxyl groups as well as to study the. The effective concentration of acetate in the intramolecular reaction can be estimated as k2/k1 = 2 x 105.

Komentar